Шнурки Гаусса
Приветствуем вас на сайте команды "Шнурки Гаусса"!
Что такое <<цепная дробь>>?
Понятие цепной дроби
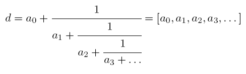
Цепная дробь (или непрерывная дробь) - это выражение вида
Числа a0, a1, a2, a3,… называются элементами цепной дроби. В такую дробь может быть разложено любое вещественное число. Цепная дробь бывает конечной или бесконечной, причём в виде конечной цепной дроби может быть представлено только рациональное число.
У бесконечных цепных дробей возможно наличие периода (бесконечно повторяющегося элементов цепной дроби), такие цепные дроби называются периодическими. В виде периодической цепной дроби может быть представлена только квадратичная иррациональность (то есть такое иррациональное число, которое может являться корнем квадратного уравнения с целыми коэффициентами). Например, золотое сечение (иррациональная математическая константа, являющаяся корнем квадратного уравнения x2-x-1 = 0) представляется в виде цепной дроби [1,1,1,1…], то есть в виде цепной дроби с единичным периодом. А число π, которое не может быть корнем многочлена с целочисленными коэффициентами, никакого периода не имеет.
Для любой цепной дроби x (а значит и для любого вещественного числа) найдётся подходящая дробь - цепная дробь, имеющая n элементов, совпадающих с первыми n элементами числа x, причём по мере увеличения n, мы получаем подходящую дробь, значение которой всё более приближено к значению числа x.
Зачем нужны цепные дроби?
Цепные дроби оказались крайне полезны в математике. В первую очередь ценность имеет тот факт, что не существует более точного рационального приближения для иррационального числа с меньшим знаменателем, чем подходящая дробь. Кроме рациональных приближений, непрерывные дроби так же используются при решении диофантовых уравнений. Не стоит недооценивать их значение в теории чисел и математическом анализе. Благодаря цепным дробям было доказано множество фактов и теорем, например, благодаря цепным дробям была доказана трансцендентность числа π.
Алгоритм разложения числа в цепную дробь
Простейшим алгоритмом преобразования числа в цепную дробь является алгоритм Евклида:
Последовательность чисел a > b > r1 > r2 > r3... > rn определяется тем, что каждый член этой последовательности, начиная с r1 является остатком от деления предпредыдущего числа на предыдущее. Тогда мы можем записать число a как bq0 + r1 , а дробь a/b как q0 + r1/b, затем мы преобразуем дробь r1/b таким образом, чтобы в её числителе осталась единица, получая выражение: a/b = q0 + 1/b/r1, видно, что в знаменателе, дробь b/r1 так же содержит два соседних члена последовательности, а значит мы можем проделать с ней ту же операцию.
История появления и развития понятия <<цепная дробь>>
Мы создали таблицу, отражающую историю появления и развития понятия «цепная дробь» от момента её появления и до наших дней. Посмотреть результаты нашей работы можно по ссылке https://disk.yandex.ru/i/Hqd8A6BPAba0Ww
Так же мы отметили всех учёных, сделавших вклад в развитие понятия «цепная дробь» на карте в Padlet https://padlet.com/shnurkigaussa/padlet-f73o7btsc4wixmh9
Христиан Гюйгенс
Христиан Гюйгенс - талантливый голландский математик, физики и изобретатель, сделавший огромный вклад в развитие оптики, молекулярной физики, астрономии, геометрии и часового дела. С событиями из жизни выдающегося учёного вы можете познакомиться в нашей таблице по ссылке https://disk.yandex.ru/i/TK9LbIM_NkoRmw

Перечень научных работ Христиана Гюйгенса:
  • 1651 - опубликованы «Рассуждения о квадрате гиперболы, эллипса и круга».
  • 1655 год - Гюйгенс открыл спутник Сатурна Титан и описал кольца Сатурна. Также опубликовывает «Новые открытия в величине круга».
  • 1657 год - приложение «О расчётах в азартной игре» к книге его учителя ван Схоотена «Математические этюды». Это было первое изложение зарождающейся теории вероятностей. Гюйгенс заложил её основы, ввёл фундаментальное понятие математического ожидания.
  • 1657 год - Гюйгенс издал описание устройства изобретённых им часов с маятником.
  • 1659 год - Гюйгенс описал всю систему Сатурна в изданном им сочинении.
  • 1659 год - изобретение Волшебного фонаря.
  • В конце 1660 годов изобрёл «окуляр Гюйгенса»
  • 1673 год - Гюйгенс опубликовал классический труд по механике «Маятниковые часы».
  • В 1675 году Христиан Гюйгенс запатентовал карманные часы.
  • В 1678 году Христиан выпустил «Трактат о свете».
  • В 1678 году Гюйгенс открыл поляризацию света и ввёл «принцип Гюйгенса» - основной постулат волной теории.
  • 1682 год - создание Механического планетария. Теорию цепных дробей он применил при проектировании зубчатых колес, что обеспечило высокую точность во взаимном движении моделей планет.
  • 1698 год - Последняя книга «ΚΟΣΜΟΘΕΩΡΟΣ sive de terris coelestibus earumque ornatu conjecturae» (на латинском языке; опубликована посмертно в Гааге) — философско-астрономическое размышление о Вселенной.
  • 1698 год - Гюйгенс получил для Сириуса расстояние в 28000 астрономических единиц, что примерно в 20 раз меньше истинного (опубликовано посмертно)
Советские и русские учёные, занимавшиеся вопросом цепных дробей
Пафнутий Львович Чебышёв 1821-1894 гг.
С помощью непрерывных дробей исследовал диофантовы приближения и разработал общую теорию разложения произвольной функции в ряд по ортогональным многочленам.
Леонард Эйлер 1707 - 1783 гг.
Систематизировал знания о цепных дробях, изловив полную теорию.
Андрей Андреевич Марков 1856-1922 гг.
Посвящает множество своих работ цепным дробям, используя их для решения многих математических проблем.
Николай Фёдоровоич Дроздов 1862-1953 гг.
Применил цепные дроби к интерполированию и разложению функций в ряды.
This site was made on Tilda — a website builder that helps to create a website without any code
Create a website